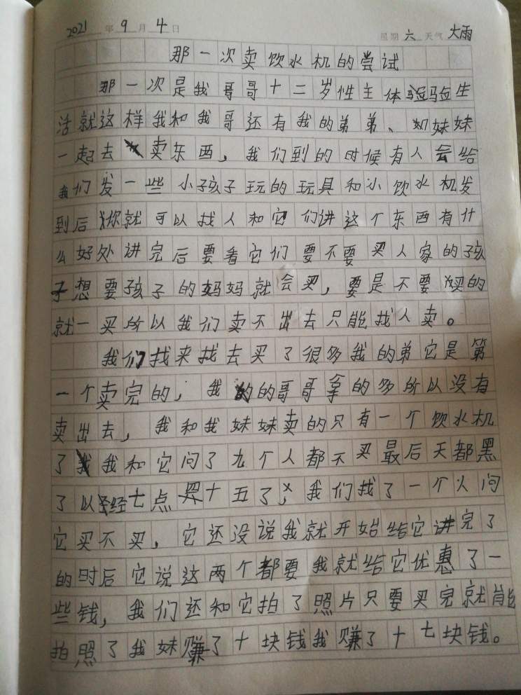
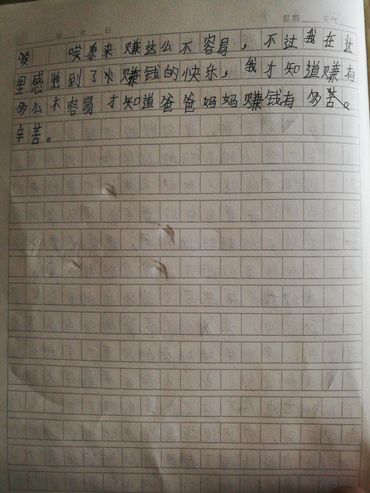
那是一次买饮水机的尝试 热450 类别:叙事 发表时间:2021-09-14 16:56 已有 451 次阅读 指导老师:赵甜蕊 所属学校:中牟县朝阳街小学


![]() 扫描二维码 手机看作文 |
版权说明: A类权限 我谨保证我是此作品的著作权人,并且此作品系首发于郑州教育信息网作文博览频道。我同意郑州教育信息网作文博览频道作为此作品版权的独占代理人。在撤销本委托之前,我不再将此作品投给其他媒体,有关此作品发表和转载等任何事宜,由郑州教育信息网作文博览频道全权负责。未经郑州教育信息网作文博览频道转授权,其他媒体一律不得转载。 |
收藏