欢迎您
登录 | 注册


康洁

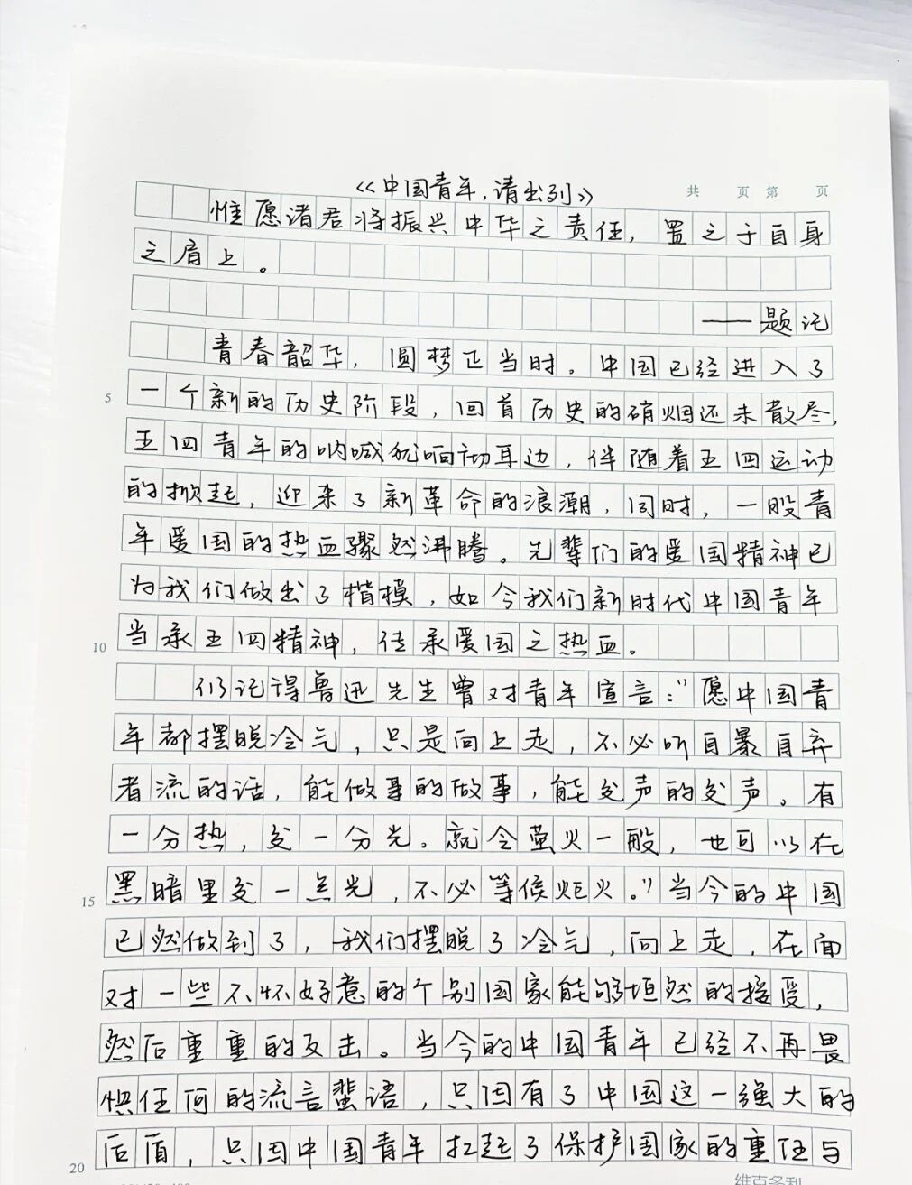
中国青年,请出列

发表时间:2021-09-03 08:15 阅读次数:189 评论次数:0

    
指导老师:黄鹂   所属学校:河南省新郑市第一中学
指导老师点评说明:
以下区域为指导老师点评区域,若您无法点评,请先核对此作文的指导老师名称与您的账户真实名称是否相同。
上一篇: 用心咀嚼
下一篇: 邻居家小狗

我要评论

评论(共0条评论

评论

热门作文

年级热门作文

版权所有 © 2010-2018 郑州市中小学生网上作文博览