欢迎您
登录 | 注册


王一权

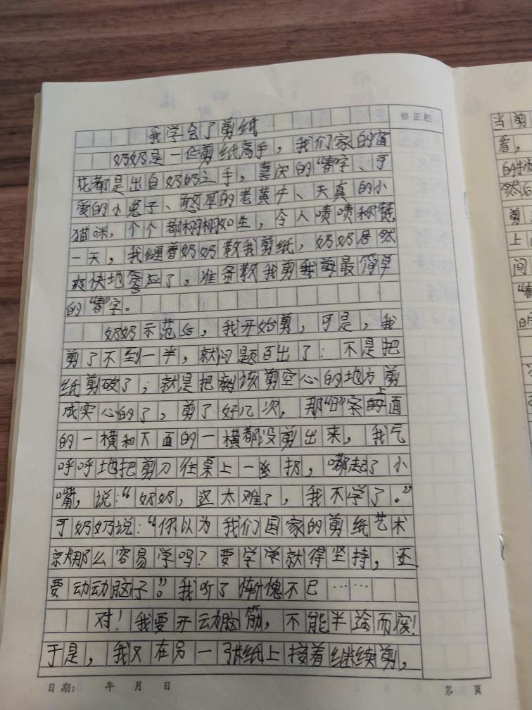
我收获了一项本领

发表时间:2020-07-02 19:30 阅读次数:172 评论次数:0

    
指导老师:乔峰玲   所属学校:郑州市惠济区东风路小学
指导老师点评说明:
以下区域为指导老师点评区域,若您无法点评,请先核对此作文的指导老师名称与您的账户真实名称是否相同。
上一篇: 我收获了快乐
下一篇: 我想呵护你

我要评论

评论(共0条评论

评论

热门作文

年级热门作文

版权所有 © 2010-2018 郑州市中小学生网上作文博览