欢迎您
登录 | 注册


郑瑞圣

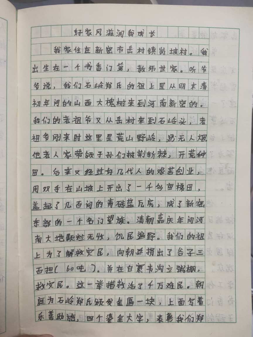
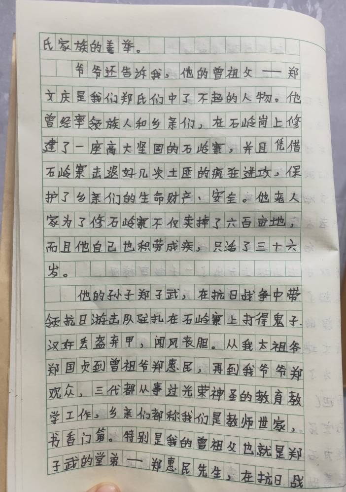
好家风滋润我成长

发表时间:2019-10-28 06:14 阅读次数:838 评论次数:0

    
指导老师:闫丽君   所属学校:郑州市第八十九中学
指导老师点评说明:
以下区域为指导老师点评区域,若您无法点评,请先核对此作文的指导老师名称与您的账户真实名称是否相同。
上一篇: 读《五猖会》有感
下一篇: 祖国,一首唱不完的恋歌

我要评论

评论(共0条评论

评论

热门作文

年级热门作文

版权所有 © 2010-2018 郑州市中小学生网上作文博览