欢迎您
登录 | 注册


王家城

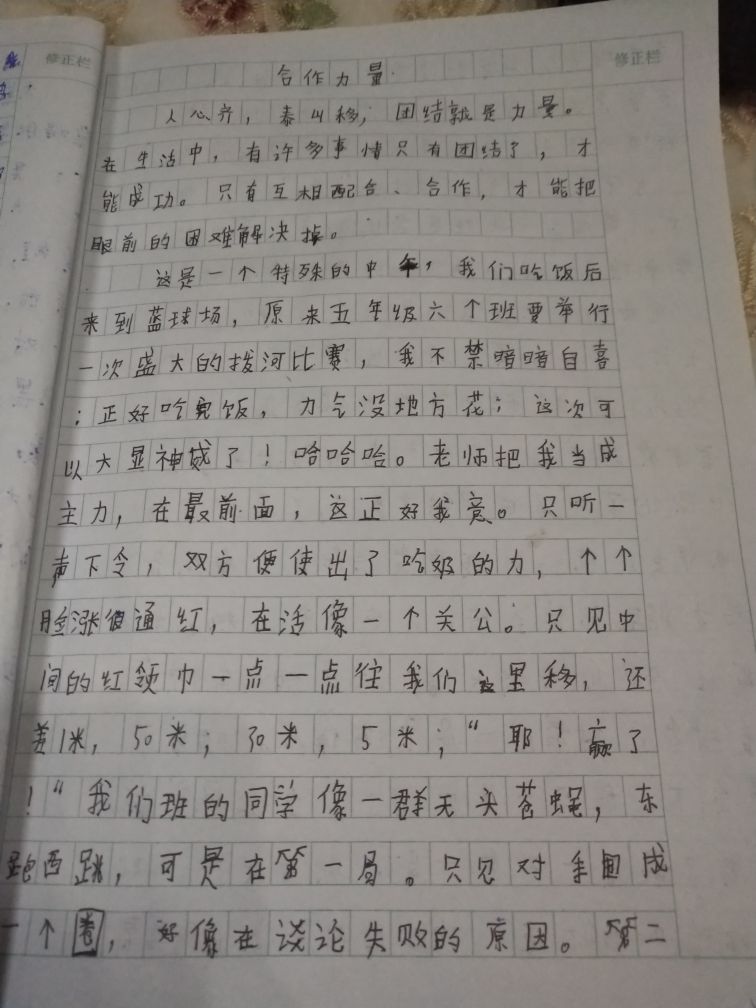
合作力量大

发表时间:2019-06-14 00:10 阅读次数:556 评论次数:0

    
指导老师:薛慧玲   所属学校:惠济区大河路中心小学
指导老师点评说明:
以下区域为指导老师点评区域,若您无法点评,请先核对此作文的指导老师名称与您的账户真实名称是否相同。
上一篇: 难忘的旅行
下一篇: 我喜欢的一本书

我要评论

评论(共0条评论

评论

热门作文

年级热门作文

版权所有 © 2010-2018 郑州市中小学生网上作文博览